Milli Piyango'nun yılbaşı özel çekilişinde büyük ikramiyenin çeyrek bilete çıkma geleneği bozulmadı. Çeyrek bileti Giresun Merkez, İstanbul Şişli, Bursa Osmangazi ve Milli Piyango Online üzerinden satın alan 4 talihli 50'şer milyon liranın sahibi oldu.
BÜYÜK İKRAMİYEYİ KAZANAN ÇEYREK BİLET GİRESUN-İSTANBUL- BURSA- MPİ ONLİNE'DA SATILDI
200 MİLYON TL ÇEYREK BİLETE
6530303
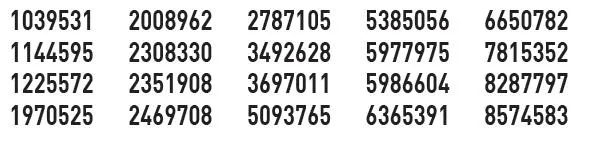
20 MİLYON TL KAZANAN NUMARALAR












